Shaakichiuwaanaan rapidly evolving into an emerging critical minerals powerhouse, with workstreams now underway on caesium, tantalum, and gallium opportunities
, /PRNewswire/ – June 26, 2025 – Sydney, Australia
Highlights
- Emerging and high-growth applications of tantalum are being driven by both technological innovation and strategic shifts in global industries.
- Shaakichiuwaanaan ranks as a top-51 tantalum pegmatite Mineral Resource2 globally in terms of both grade and tonnage:
- Indicated: 108.0 Mt at 1.40% Li2O, 166 ppm Ta2O5, and 66 ppm Ga.
- Inferred: 33.3 Mt at 1.33% Li2O, 156 ppm Ta2O5, and 65 ppm Ga.
- High-grade tantalum (and lithium) drill intersections include:
- 9.6 m at 0.94% Li2O and 2,307 ppm Ta2O5 (CV23-271) – CV13
- 9.5 m at 1.12% Li2O and 1,538 ppm Ta2O5 (CV24-441) – CV5
- 22.7 m at 2.79% Li2O and 972 ppm Ta2O5 (CV24-661) – CV5
- 22.9 m at 2.58% Li2O and 621 ppm Ta2O5 (CV23-181) – CV5
- Tantalite is the primary mineral host for the tantalum identified at Shaakichiuwaanaan.
- Tantalite is commercially recovered as a by-product from multiple lithium pegmatite operations globally using simple, well-understood, and conventional methods – including Greenbushes, Pilgangoora, Wodgina, and Tanco.
- The Company has commenced evaluating options to advance and incorporate the tantalum opportunity at Shaakichiuwaanaan as a potential by-product into the overall economic development of the Project, to follow the completion of the lithium-only Feasibility Study on the CV5 Pegmatite which remains on track for Q3 2025:
- Test programs now underway to thoroughly evaluate tantalum recovery, with ~19% Ta2O5 tantalite concentrate produced in the initial test program.
|
__________ |
||
|
1 Determination based on Mineral Resource data, sourced through April 11, 2025, from corporate disclosure of NI 43-101, JORC, or equivalent regulatory body (see news release dated May 12, 2025). |
||
|
2 Cut-off grade is variable depending on the mining method and pegmatite (0.40% Li2O open-pit, 0.60% Li2O underground CV5, and 0.70% Li2O underground CV13). The Effective Date of the MRE (announced May 2025) is January 6, 2025 (through drill hole CV24-787). Mineral Resources are not Mineral or Ore Reserves as they do not have demonstrated economic viability. |
Darren L. Smith, Executive Vice President Exploration, comments: “The Shaakichiuwaanaan Project is rapidly evolving into a critical minerals powerhouse with tantalum, caesium, and gallium already identified as significant potential by-product opportunities to a primary lithium operation. Of these opportunities, tantalum is the most common in the industry, when grades are sufficiently high, and may be recovered using simple and conventional processing methods with no material impact on lithium recoveries.”
“With Shaakichiuwaanaan ranking as one of the top-5 tantalum pegmatites globally in terms of grade and tonnage, there is strong potential for tantalum to further enhance the economic and financial returns of the Project,” added Mr. Smith.
Patriot Battery Metals Inc. (the “Company” or “Patriot”) (TSX: PMET) (ASX: PMT) (OTCQX: PMETF) (FSE: R9GA) is pleased to provide an update on work streams currently underway to unlock tantalum – another important and high-value critical and strategic metal present in abundance at its 100%-owned Shaakichiuwaanaan Property (the “Property” or “Project”), located in the Eeyou Istchee James Bay region of Quebec. The Shaakichiuwaanaan Mineral Resource3, comprised of the CV5 and CV13 Li-Cs-Ta (“LCT”) pegmatites, is situated approximately 13 km south of the regional and all‑weather Trans-Taiga Road and powerline infrastructure corridor, and is accessible year-round by all-season road.
The Shaakichiuwaanaan LCT pegmatites are highly evolved through the process of crystal fractionation during formation, whereby mineral crystallization leads to progressive changes in the chemistry of the remaining melt, resulting in increasingly rare minerals being formed as the process unfolds. This process of LCT pegmatite formation most commonly leads to only modest enrichment of lithium and other critical metals; however, in rare circumstances may result in extreme enrichment.
The Company is very fortunate that the Shaakichiuwaanaan LCT pegmatites are highly evolved, which has resulted in the extreme enrichment of lithium, caesium, and tantalum – each at potentially world-class scale – as well as other potentially recoverable critical and strategic metals (e.g., gallium). Each of these critical metals could become further value-added by-products to the envisioned primary lithium operation at Shaakichiuwaanaan. Additional information is provided below describing the tantalum opportunity and the steps being taken to evaluate the development of this unique asset.
|
__________ |
|
3 Shaakichiuwaanaan (CV5 & CV13) Mineral Resource Estimate (108.0 Mt at 1.40% Li2O, 166 ppm Ta2O5 and 66 ppm Ga, Indicated, and 33.3 Mt at 1.33% Li2O, 156 ppm Ta2O5, and 65 ppm Ga, Inferred) is reported at a cut-off grade of 0.40% Li2O (open-pit), 0.60% Li2O (underground CV5), and 0.70% Li2O (underground CV13) with an Effective Date of January 6, 2025 (through drill hole CV24-787). Mineral resources are not mineral reserves as they do not have demonstrated economic viability. |
Tantalum Opportunity
Tantalum, which is primarily hosted in the mineral tantalite at Shaakichiuwaanaan, has been commercially recovered from LCT pegmatites historically and at active mining operations today (e.g., Greenbushes, Pilgangoora, Wodgina, and Tanco). This potentially de-risks the pathway to recover tantalum at Shaakichiuwaanaan.
Further bolstering this potential is the ranking of the MRE at Shaakichiuwaanaan as a top-54 tantalum pegmatite in the world in terms of both grade and tonnage (Figure 1), highlighting the exceptional critical metal endowment present at the Project – 108.0 Mt at 1.40% Li2O and 166 ppm Ta2O5 Indicated, and 33.3 Mt at 1.33% Li2O and 156 ppm Ta2O5 Inferred. This equates to contained tantalum content of 23,104 tonnes (50.9 million pounds) Ta2O5.
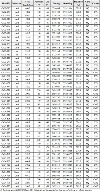
As is common in LCT pegmatites, the tantalum mineralization is zoned within the wider pegmatite body and often overlaps with lithium mineralization zonation. Very high-grade tantalum zones are present within the deposit, which may overlap with high-grade lithium zones. Drill intersections include (Table 1, Table 2):
- 9.6 m at 0.94% Li2O and 2,307 ppm Ta2O5 (CV23-271) – CV13
- 9.5 m at 1.12% Li2O and 1,538 ppm Ta2O5 (CV24-441) – CV5
- 22.7 m at 2.79% Li2O and 972 ppm Ta2O5 (CV24-661) – CV5
- 22.9 m at 2.58% Li2O and 621 ppm Ta2O5 (CV23-181) – CV5
|
__________ |
||
|
4 Determination based on Mineral Resource data, sourced through April 11, 2025, from corporate disclosure of NI 43-101, JORC, or equivalent regulatory body (see news release dated May 12, 2025). |
Process Recovery
At historical and active lithium pegmatite mine operations (e.g., Greenbushes, Pilgangoora, Wodgina, and Tanco), tantalum is recovered into a mineral concentrate (typically tantalite) using well-understood, simple, and conventional methods. At Shaakichiuwaanaan, the tantalite is envisioned to be recovered from the lithium process waste streams using simple, conventional, and low-cost magnetic and gravity methods (e.g., spirals). It is anticipated that the tantalum recovery circuit could be positioned as a “bolt-on” to the primary lithium recovery circuit using these waste streams as feed, with no impact on the overall lithium recovery.
The Company has active testwork programs underway at SGS Canada (Lakefield, ON, facility) targeting tantalite recovery on both early open-pit and early underground mine-life material. Initial results have been very encouraging with concentrate from the first lithium waste stream tested grading ~12% to 19% Ta2O5 at good stage recovery. Testing is continuing on the remaining waste streams from the lithium process circuit, which will allow for an overall concentrate grade and recovery to be determined.
Tantalum Market
Tantalum is an essential component required for a range of high-tech devices, electronics, superalloys, and essential niche applications including capacitors. Due to these essential uses, tantalum is listed as a critical and strategic mineral by the province of Quebec (Canada), Canada, European Union, United Kingdom, Australia, Japan, India, South Korea, and the United States.
Tantalum is a unique, high-performance metal known for its high melting point, exceptional corrosion resistance, and ability to efficiently store and transfer electrical charge. High-growth and emerging applications of tantalum are being driven by both technological innovation and strategic shifts in global industries. Emerging industry applications include advanced electronics and 5G infrastructure, semiconductor manufacturing, medical technology including implants and medical imaging equipment, aerospace, and quantum computing.
According to the United States Geological Survey, an estimated 2,100 tonnes of tantalum was produced globally in 2024. No significant amounts of tantalum are currently produced in North America or Europe, with a majority (85%+) of production coming out of the Democratic Republic of Congo, Rwanda, Nigeria, and Brazil. However, a significant amount of global supply (~60%) comes out of certain African regions where serious conflict and corruption are present and worker conditions are secondary, thus necessitating a conflict free source of supply. Growing tantalum production from lithium pegmatites, predominantly out of Australia at this time, is seen as a source of alternative, secure, stable, and conflict-free supply to global markets.
Tantalum currently trades for ~US$239/kg ($527/lb) in its refined form (Ta2O5 ≥99.5%). Depending on the source, market growth is forecasted at 4-6% CAGR through the end the decade.
Next Steps
Through the lithium-focused exploration and resource development drilling completed to date at the Property, the Company has identified other high-value critical metal potential by-products in addition to the existing large-scale lithium Mineral Resource at Shaakichiuwaanaan, namely caesium, tantalum, and gallium. The caesium opportunity was outlined in the News Release dated June 10, 2025, with the tantalum opportunity described in this news release.
The current phase of tantalum recovery testwork at SGS Canada’s Lakefield, ON, facility is anticipated to be completed in the coming weeks and is focused on recovery from the lithium process waste streams. This work will allow for a preliminary understanding of process design to be developed and an estimate of the overall concentrate grade and recovery that may be expected. A follow-up program is planned that will include further assessment as a potential “bolt-on” recovery circuit to the primary lithium recovery circuit, as well as targeting optimizations of the process.
Additionally, the Company is actively engaged with potential end-users and supply chain participants to further develop the economic opportunity in the tantalum products anticipated to be derived from the Project.
The lithium-only Feasibility Study based on the CV5 Mineral Resource component of the overall Shaakichiuwaanaan MRE is on-track for completion in Q3-2025 and remains the near-term focus for the Company. The economic potential in critical metal by-products will be assessed once the lithium-only Feasibility Study is completed, with various studies concurrently underway to better evaluate the opportunities present for caesium, tantalum, and gallium specifically.
Qualified/Competent Person
The information in this news release that relates to exploration results for the Shaakichiuwaanaan Property is based on, and fairly represents, information compiled by Mr. Darren L. Smith, M.Sc., P.Geo., who is a Qualified Person as defined by National Instrument 43-101 – Standards of Disclosure for Mineral Projects, and member in good standing with the Ordre des Géologues du Québec (Geologist Permit number 01968), and with the Association of Professional Engineers and Geoscientists of Alberta (member number 87868). Mr. Smith has reviewed and approved the technical information in this news release.
Mr. Smith is an Executive and Vice President of Exploration for Patriot Battery Metals Inc. and holds common shares, Restricted Share Units (RSUs), and Performance Share Units (PSUs) in the Company.
Mr. Smith has sufficient experience, which is relevant to the style of mineralization, type of deposit under consideration, and to the activities being undertaken to qualify as a Competent Person as described by the Australasian Code for Reporting of Exploration Results, Mineral Resources and Ore Reserves (the JORC Code). Mr. Smith consents to the inclusion in this news release of the matters based on his information in the form and context in which it appears.
About Patriot Battery Metals Inc.
Patriot Battery Metals Inc. is a hard-rock lithium exploration company focused on advancing its district-scale 100%-owned Shaakichiuwaanaan Property (formerly known as Corvette) located in the Eeyou Istchee James Bay region of Quebec, Canada, which is accessible year-round by all-season road and is proximal to regional powerline infrastructure. The Shaakichiuwaanaan Mineral Resource5, which includes the CV5 & CV13 spodumene pegmatites, totals 108.0 Mt at 1.40% Li2O, 166 ppm Ta2O5, and 66 ppm Ga, Indicated, and 33.3 Mt at 1.33% Li2O, 156 ppm Ta2O5, and 65 ppm Ga, Inferred, and ranks6 as the largest lithium pegmatite resource in the Americas, and the 8th largest lithium pegmatite resource in the world. Shaakichiuwaanaan also holds significant potential for other critical and strategic metals including caesium, tantalum, and gallium.
A Preliminary Economic Assessment (“PEA”) was announced for the CV5 Pegmatite (lithium) on August 21, 2024, and highlights Shaakichiuwaanaan as a potential North American lithium raw materials powerhouse. The PEA outlines the potential for a competitive and globally significant high-grade lithium project targeting up to ~800 ktpa spodumene concentrate using a simple Dense Media Separation (“DMS”) only process flowsheet.
For further information, please contact us at [email protected] or by calling +1 (604) 279-8709, or visit www.patriotbatterymetals.com. Please also refer to the Company’s continuous disclosure filings, available under its profile at www.sedarplus.ca and www.asx.com.au, for available exploration data.
This news release has been approved by the Board of Directors.
|
__________ |
||
|
5 Cut-off grade is variable depending on the mining method and pegmatite (0.40% Li2O open-pit, 0.60% Li2O underground CV5, and 0.70% Li2O underground CV13). The Effective Date of the MRE (announced May 2025) is January 6, 2025 (through drill hole CV24-787). Mineral Resources are not Mineral or Ore Reserves as they do not have demonstrated economic viability. |
||
|
6 Determination based on Mineral Resource data, sourced through April 11, 2025, from corporate disclosure of NI 43-101, JORC, or equivalent regulatory body (see news release dated May 12, 2025). |
“KEN BRINSDEN”
Kenneth Brinsden, President, CEO, & Managing Director
Appendix 1 – JORC Code 2012 Table 1 (ASX Listing Rule 5.8.2)
Section 1 – Sampling Techniques and Data
|
Criteria |
JORC Code explanation |
Commentary |
|
Sampling techniques |
|
|
|
Drilling techniques |
|
|
|
Drill sample recovery |
|
|
|
Logging |
|
|
|
Sub-sampling techniques and sample preparation |
|
|
|
Quality of assay data and laboratory tests |
|
|
|
Verification of sampling and assaying |
|
|
|
Location of data points |
|
|
|
Data spacing and distribution |
|
|
|
Orientation of data in relation to geological structure |
|
|
|
Sample security |
|
|
|
Audits or reviews |
|
|
Section 2 – Reporting of Exploration Results
|
Criteria |
JORC Code explanation |
Commentary |
|
Mineral tenement and land tenure status |
|
|
|
Exploration done by other parties |
|
|
|
Geology |
|
|
|
Drill hole Information |
|
|
|
Data aggregation methods |
|
|
|
Relationship between mineralization widths and intercept lengths |
|
|
|
Diagrams |
|
|
|
Balanced reporting |
|
|
|
Other substantive exploration data |
|
|
|
Further work |
|
|
Appendix 2: MRE details and sources for deposits/projects noted in Figure 1.
|
Company Name |
Project Name |
Stage |
Inclusive |
Measured |
Indicated |
Inferred |
Information Source(s) |
|||
|
Mt |
Ta2O5 |
Mt |
Ta2O5 |
Mt |
Ta2O5 |
|||||
|
Pilbara Minerals Ltd. |
Pilgangoora |
Production |
Y |
16.5 |
144 |
314 |
106 |
76.6 |
124 |
Annual Report 2024 |
|
AVZ Minerals Limited 75% / La Congolaise d’Exploitation Minière SA 25% |
Manono |
Development |
Y |
132.0 |
44 |
367 |
42 |
342.0 |
51 |
ASX announcement dated January 31, 2024 |
|
Patriot Battery Metals Inc. |
Shaakichiuwaanaan |
Development |
– |
– |
– |
108 |
166 |
33.3 |
156 |
TSX announcement herein |
|
Liontown Resources Ltd. |
Kathleen Valley |
Production |
Y |
19.0 |
149 |
109 |
131 |
26.0 |
118 |
ASX announcement dated October 30, 2024 |
|
Zhejiang Huayou Cobalt Co., Ltd. |
Arcadia |
Development |
Y |
15.8 |
113 |
46 |
124 |
11.2 |
119 |
ASX announcement dated October 11, 2021 |
|
AMG Lithium GmbH |
Mibra |
Production |
– |
3.4 |
359 |
17 |
335 |
4.2 |
337 |
Euronext announcement dated April 3, 2017 |
|
Andrada Mining Ltd. |
Uis |
Production |
– |
27.3 |
110 |
18 |
105 |
32.7 |
89 |
AIM announcement dated February 6, 2025 |
|
Frontier Lithium Inc. 92.5% / Mitsubishi Corporation 7.5% |
PAK + Spark |
Development |
– |
1.3 |
94 |
25 |
108 |
32.5 |
113 |
NI 43-101 technical report dated February 28, 2023 |
|
Sinomine Resource Group Co., Ltd. |
Tanco |
Production |
– |
3.0 |
1,120 |
1 |
960 |
0.1 |
790 |
2024 Annual Report |
|
Delta Lithium Ltd. |
Yinnetharra Tantalum |
Development |
– |
– |
– |
27 |
95 |
12.9 |
117 |
ASX announcement dated March 31, 2025 |
|
Wildcat Resources Ltd. |
Tabba Tabba |
Development |
– |
– |
– |
70 |
65 |
4.1 |
80 |
ASX announcement dated November 28, 2024 |
|
Critical Elements Lithium Corporation |
Rose |
Development |
Y |
– |
– |
31 |
118 |
2.4 |
129 |
TSX announcement dated August 29, 2023 |
|
Delta Lithium Ltd. |
Mt Ida |
Development |
– |
– |
– |
8 |
224 |
6.8 |
154 |
ASX announcement dated October 3, 2023 |
|
Global Lithium Resources Ltd. |
Manna |
Development |
– |
– |
– |
33 |
52 |
18.7 |
50 |
ASX announcement dated June 12, 2024 |
|
Rio Tinto |
Mt Cattlin |
Development |
Y |
0.2 |
154 |
10 |
155 |
4.8 |
177 |
ASX announcement dated November 28, 2025 |
|
Green Technology Metals Ltd. |
Seymour |
Development |
– |
– |
– |
6 |
149 |
4.1 |
100 |
ASX announcement dated November 17, 2023 |
Note: Mineral resources are presented on a 100% basis and inclusive of reserves where noted. Estimates may have been prepared under different estimation and reporting regimes and may not be directly comparable. Patriot Battery Metals accepts no responsibility for the accuracy of peer mineral resource data as presented. Details on the tonnes, category, grade, and cut-off for mineral resources of each company noted herein are found within the respective information sources provided. Data compiled as of April 11, 2025.
Appendix 3: Listing of Mineral Reserves included in Mineral Resource Estimates Outlined in Appendix 2.
|
Company Name |
Project Name |
Stage |
Proven |
Probable |
Information Source(s) |
||
|
Mt |
Ta2O5 |
Mt |
Ta2O5 |
||||
|
Pilbara Minerals Ltd. |
Pilgangoora |
Production |
14.0 |
131 |
194.7 |
101 |
Annual Report 2024 |
|
AVZ Minerals Limited 75% / La Congolaise d’Exploitation Minière SA 25% |
Manono |
Development |
65.0 |
– |
66.6 |
– |
AVZ FY23 Financial Report |
|
Patriot Battery Metals Inc. |
Shaakichiuwaanaan |
Development |
– |
– |
– |
– |
|
|
Liontown Resources Ltd. |
Kathleen Valley |
Production |
3.7 |
176 |
65.5 |
120 |
FY24 Annual Report |
|
Zhejiang Huayou Cobalt Co., Ltd. |
Arcadia |
Development |
11.8 |
114 |
30.5 |
123 |
ASX announcement dated October 11, 2021 |
|
AMG Lithium GmbH |
Mibra |
Production |
– |
– |
– |
– |
|
|
Andrada Mining Ltd. |
Uis |
Production |
– |
– |
– |
– |
|
|
Frontier Lithium Inc. 92.5% / Mitsubishi Corporation 7.5% |
PAK + Spark |
Development |
– |
– |
– |
– |
|
|
Sinomine Resource Group Co., Ltd. |
Tanco |
Production |
– |
– |
– |
– |
|
|
Delta Lithium Ltd. |
Yinnetharra Tantalum |
Development |
– |
– |
– |
– |
|
|
Wildcat Resources Ltd. |
Tabba Tabba |
Development |
– |
– |
– |
– |
|
|
Critical Elements Lithium Corporation |
Rose |
Development |
– |
– |
26.3 |
138 |
TSX announcement dated August 29, 2023 |
|
Delta Lithium Ltd. |
Mt Ida |
Development |
– |
– |
– |
– |
|
|
Global Lithium Resources Ltd. |
Manna |
Development |
– |
– |
– |
– |
|
|
Rio Tinto |
Mt Cattlin |
Development |
0.1 |
126 |
3.6 |
113 |
|
|
Green Technology Metals Ltd. |
Seymour |
Development |
– |
– |
– |
– |
|
Note: Mineral reserves are presented on a 100% basis. Estimates may have been prepared under different estimation and reporting regimes and may not be directly comparable. Patriot Battery Metals accepts no responsibility for the accuracy of peer mineral reserve data as presented. Details on the tonnes, category, grade, and cut-off for mineral reserves of each company noted herein are found within the respective information sources provided. Data compiled as of April 11, 2025.
Disclaimer for Forward-Looking Information
This news release contains “forward-looking statements” and “forward-looking information” within the meaning of applicable securities laws.
All statements, other than statements of present or historical facts are forward-looking statements. Forward-looking statements involve known and unknown risks, uncertainties and assumptions and accordingly, actual results could differ materially from those expressed or implied in such statements. You are hence cautioned not to place undue reliance on forward-looking statements. Forward-looking statements are typically identified by words such as “plan”, “development”, “growth”, “continued”, “intentions”, “expectations”, “emerging”, “evolving”, “strategy”, “opportunities”, “anticipated”, “trends”, “potential”, “outlook”, “ability”, “additional”, “on track”, “prospects”, “viability”, “estimated”, “reaches”, “enhancing”, “strengthen”, “target”, “believes”, “next steps” or variations of such words and phrases or statements that certain actions, events or results “may”, “could”, “would”, “might” or “will” be taken, occur or be achieved. Forward-looking statements include, but are not limited to, statements concerning the ability of tantalum to be a high-value by-product at Shaakichiuwaanaan, Shaakichiuwaanaan’s ability to become a critical minerals powerhouse, the recoverability of tantalite, timing of the lithium-only Feasibility Study, tantalum’s ability to further enhance the economic and financial returns of the Project; the ability of each of lithium, caesium and tantalum as well as other critical and strategic metals to become further value-added by-products, and the ability to further develop with potential end-users and supply chain participants the economic opportunity in the tantalum products derived from the Project.
Forward-looking statements are based upon certain assumptions and other important factors that, if untrue, could cause actual results to be materially different from future results expressed or implied by such statements. There can be no assurance that forward-looking statements will prove to be accurate. Key assumptions upon which the Company’s forward-looking information is based include, without limitation, the market for tantalum, that proposed exploration work on the Property will continue as expected, the accuracy of reserve and resource estimates, the classification of resources between inferred and the assumptions on which the reserve and resource estimates are based, long-term demand for spodumene supply, and that exploration and development results continue to support management’s current plans for Property development.
Forward-looking statements are also subject to risks and uncertainties facing the Company’s business, any of which could have a material adverse effect on the Company’s business, financial condition, results of operations and growth prospects. Readers should consider reviewing the detailed risk discussion in the Company’s most recent Annual Information Form filed on SEDAR+, for a fuller understanding of the risks and uncertainties that affect the Company’s business and operations.
Although the Company believes its expectations are based upon reasonable assumptions and has attempted to identify important factors that could cause actual actions, events or results to differ materially from those described in forward-looking statements, there may be other factors that cause actions, events or results not to be as anticipated, estimated or intended. There can be no assurance that forward-looking information will prove to be accurate. If any of the risks or uncertainties mentioned above, which are not exhaustive, materialize, actual results may vary materially from those anticipated in the forward-looking statements.
The forward-looking statements contained herein are made only as of the date hereof. The Company disclaims any intention or obligation to update or revise any forward-looking statements, whether as a result of new information, future events or otherwise, except to the extent required by applicable law. The Company qualifies all of its forward-looking statements by these cautionary statements.
The production target from the PEA referred to in this release was reported by the Company in accordance with ASX Listing Rule 5.16 on August 21, 2024. The Company confirms that, as of the date of this announcement, all material assumptions and technical parameters underpinning the production target in the original announcement continue to apply and have not materially changed.
Competent Person Statement (ASX Listing Rule 5.23) for Shaakichiuwaanaan MRE
The mineral resource estimate in this release was reported by the Company in accordance with ASX Listing Rule 5.8 on May 13, 2025. The Company confirms that, as of the date of this news release, it is not aware of any new information or data verified by the competent person that materially affects the information included in the announcement and that all material assumptions and technical parameters underpinning the estimates in the announcement continue to apply and have not materially changed. The Company confirms that, as at the date of this announcement, the form and context in which the competent person’s findings are presented have not been materially modified from the original market announcement.
SOURCE Patriot Battery Metals Inc.
WANT YOUR COMPANY’S NEWS FEATURED ON PRNEWSWIRE.COM?
440k+
Newsrooms &
Influencers
9k+
Digital Media
Outlets
270k+
Journalists
Opted In



